YN-CCXИнтенсивный автобусный маршрут

Обзор

Интенсивный автобусный маршрут YN-CCX - это новый тип автобусного маршрута, который поглощает передовые технологии аналогичных зарубежных продуктов и объединяет дизайн, разработку и производство. Шинопровод представляет собой гибкое и надежное оборудование для распределения электроэнергии с высокой эффективностью распределения мощности и простыми процедурами установки.Он в основном используется на химических, металлургических, промышленных и горнодобывающих предприятиях, культурных и спортивных объектах, выставочных залах, архивах, музеях и аэропортах ниже 660V, Станции, коммерческие здания и другие социальные общественные места и система электроснабжения передачи и распределения высотного здания.

Модель и ее значение

Функции и возможности

● Корпус шинопровода полностью экструдирован из высококачественного алюминиевого сплава, а поверхность обработана электрофорезным оксидированием и окрашиванием, что обеспечивает сильную защиту от коррозии.
Боковая пластина шинопровода выполнена в виде радиатора и сконструирована и объединена для поддержания функции равномерного отвода тепла и может работать в течение длительного времени в среде с температурой ниже 130°C.
Преимущество в том, что площадь поперечного сечения оболочки шинопровода в несколько раз больше, чем у фазного проводника, используется в качестве защитного проводника, а также в качестве заземляющего провода, эффект заземления больше идеально, и это безопаснее и надежнее.
Алюминиевый корпус шинопровода представляет собой немагнитный металл, поэтому он имеет меньшую индуктивность и меньшее энергопотребление, что позволяет решить проблему сильноточного шума шинопровода из железного корпуса.
Алюминиевый кожух шинопровода равномерно обернут вокруг фазных линий и близок к каждой фазе. Следовательно, реактивное сопротивление равно и наименьшее, что устраняет недостатки трехфазного и большого падения напряжения, вызванного традиционным методом заземления в течение длительного времени на линии.
Алюминиевый внешний корпус шинопровода плотно упакован в алюминиевый корпус, который обладает характеристиками износостойкости, влагостойкости, пыленепроницаемости и пожаробезопасности Недостаточно шинопровода.

стиль модели

Модель шинопровода

<тело> <тд выравнивание = "центр"> кодовое имя <тд выравнивание = "центр"> имя <тд выравнивание = "центр"> кодовое имя <тд выравнивание = "центр"> имя <тд выравнивание = "центр"> кодовое имя <тд выравнивание = "центр"> имя <тд выравнивание = "центр"> А <тд выравнивание = "центр"> Шинопровод прямого сечения без домкрата <тд выравнивание = "центр"> БР <тд выравнивание = "центр"> Соединение варистора <тд выравнивание = "центр"> ТС <тд выравнивание = "центр"> Т-образный вертикальный шов <тд выравнивание = "центр"> А1 <тд выравнивание = "центр"> Шинопровод прямого сечения с одним отверстием <тд выравнивание = "центр"> Форекс <тд выравнивание = "центр"> Штепсельная распределительная коробка <тд выравнивание = "центр"> XS <тд выравнивание = "центр"> Горизонтальный шарнир X-типа <тд выравнивание = "центр"> А2 <тд выравнивание = "центр"> Шинопровод прямого сечения с двумя отверстиями <тд выравнивание = "центр"> JX <тд выравнивание = "центр"> Входная клеммная коробка (конечная клеммная коробка) <тд выравнивание = "центр"> ХС <тд выравнивание = "центр"> Вертикальный шарнир X-типа <тд выравнивание = "центр"> С <тд выравнивание = "центр"> Стартовый автобус <тд выравнивание = "центр"> ЛС <тд выравнивание = "центр"> Горизонтальный шов L-типа <тд выравнивание = "центр"> ЗС <тд выравнивание = "центр"> Горизонтальный шов типа Z <тд выравнивание = "центр"> Z <тд выравнивание = "центр"> клеммная крышка <тд выравнивание = "центр"> ЖК <тд выравнивание = "центр"> L-образный вертикальный шарнир <тд выравнивание = "центр"> ЗК <тд выравнивание = "центр"> Вертикальный шарнир Z-типа <тд выравнивание = "центр"> п <тд выравнивание = "центр"> Температурный шов <тд выравнивание = "центр"> ТС <тд выравнивание = "центр"> Т-образный горизонтальный шов <тд выравнивание = "центр"> Т <тд выравнивание = "центр"> Регулировочный шарнир Пример: YN-CCX-1250A/4-3000 означает, что номинальный ток составляет 1250 А, а длина шинопровода с интенсивным использованием медных проводников четырехпроводной прямой секции составляет 3000 мм.

Сборка дизайна

1. Для шинопровода от 400А до 6300А болтовой соединитель является стандартным аксессуаром.При изменении или обслуживании нагрузки шина может быть быстро собрана и разобрана для повторного соединения.Его можно установить или снять на любом конце шинопровода.Аксессуары системы Стандартные аксессуары. Для соединения питающих и втычных шин не требуется специальной соединительной крышки. Стандартные аксессуары упрощают установку и техническое обслуживание.
2. Соединительное пространство в шинопроводе закрыто специальной перегородкой, которая может предотвратить возгорание места установки шинопровода и распространение густого дыма и газа по шинопроводу.Внутренняя перегородка позволяет шинопровод должен проходить через стену или при расположении на полу путь горения «дымохода» отсутствует.
3. Соединительные болты оснащены высокопрочными стандартными аксессуарами класса 8.8, чтобы пользователь мог затянуть соединение с соответствующим крутящим моментом с помощью гаечного ключа. - Красная пластиковая табличка "WD" упадет, показывая, что соединение достигло надлежащего крутящего момента. То же самое - у болтов другое - головка болта зарезервирована для будущего обслуживания или сборки-разборки. Дополнительная квадратная площадка обеспечивает равномерное давление на контактную поверхность для обеспечения правильного электрического соединения.

«сэндвич»

1. Ток серии YN-CCX имеет структуру «сэндвич» от 400A до 6300A, что не только экономит место, но и имеет хорошие характеристики падения напряжения при низкой мощности. Конструкция из одного провода и радиатора делает систему более компактной, при больших токах система экономит вдвое меньше места по сравнению с обычной.
2. Во всех шинах серии YN-CCX в качестве токопроводящих материалов используются высококачественные посеребренные медные стержни.Покрытие внешней поверхности токопроводящих стержней имеет более высокое значение номинального тока и лучшую антикоррозионную защиту.
3. Электрические проводники серии YN-CCX плотно скомбинированы, с небольшими зазорами, малым реактивным сопротивлением, хорошим рассеиванием тепла, низким повышением температуры, хорошей термической стабильностью, большой пропускной способностью и отличным энергосберегающим эффектом, простая конструкция и полностью закрытая конструкция могут достигать До IP65 или выше.
4. Во всех шинах серии YN-CCX используется полиэфирная пленка класса B 130°C для достижения долговременного эффекта изоляции. Изоляционная среда шинопровода представляет собой три слоя термопластичного полиэфирного клея толщиной 0,6 мм, обернутые вокруг токопроводящего ряда. Термостойкая и устойчивая к давлению силиконовая полоса используется в качестве наполнителя, так что электрический проводник может иметь полностью закрытую структуру, что обеспечивает долговременный изоляционный эффект. Заводское испытание на выдерживаемое напряжение достигает 3750 В, чтобы гарантировать соответствие качества национальному стандарту Великобритании.

Технические параметры

1. Номинальное напряжение изоляции (В): 690
2. Номинальное рабочее напряжение (В): 380
3. Ползучее и ударное напряжение (В/мин): 3750
4. Номинальный рабочий ток (А): шинопровод: 400, 500, ~5000, 5500, 6300  5. Номинальная предельная отключающая способность при коротком замыкании IOU( KA) Шунтирующая коробка: 5, 20, 30
6. Номинальный кратковременно выдерживаемый ток IOW(KA/S)  Busway: 20, 50, 65, 100
7. Номинальный пиковый кратковременно выдерживаемый ток ИДК ( КА ) Шины: 40, 105, 143, 220
8. Уровень защиты: IP40-IP65
Защитный провод корпуса (PE) специальный плюсовой провод: 12, 30, 39, 60
Корпус шинопровода: 24, 63, 82, 132

Высококачественная изоляция

Во всех шинах используется полиэфирная пленка класса B 130°C для обеспечения долговременной изоляции. Изоляционная среда шинопровода YN-CCX представляет собой три слоя полиэфирной пленки Dupont толщиной 0,188 мм, которые укладываются на поверхность токопроводящей шины. Для достижения высокой температуры, эффекта высокого давления.

Высококачественный проводник

Во всех шинах в качестве материала проводника используется высококачественная посеребренная медь. Покрытие на внешней поверхности токопроводящего стержня имеет лучшую антикоррозионную защиту.

Тест на прочность

Конструкция шинопровода YN-CCX обеспечивает устойчивость к короткому замыканию, что подходит для электрических систем, используемых в современных промышленных и коммерческих зданиях, и вся система соответствует номинальному стандарту цикла UL3.

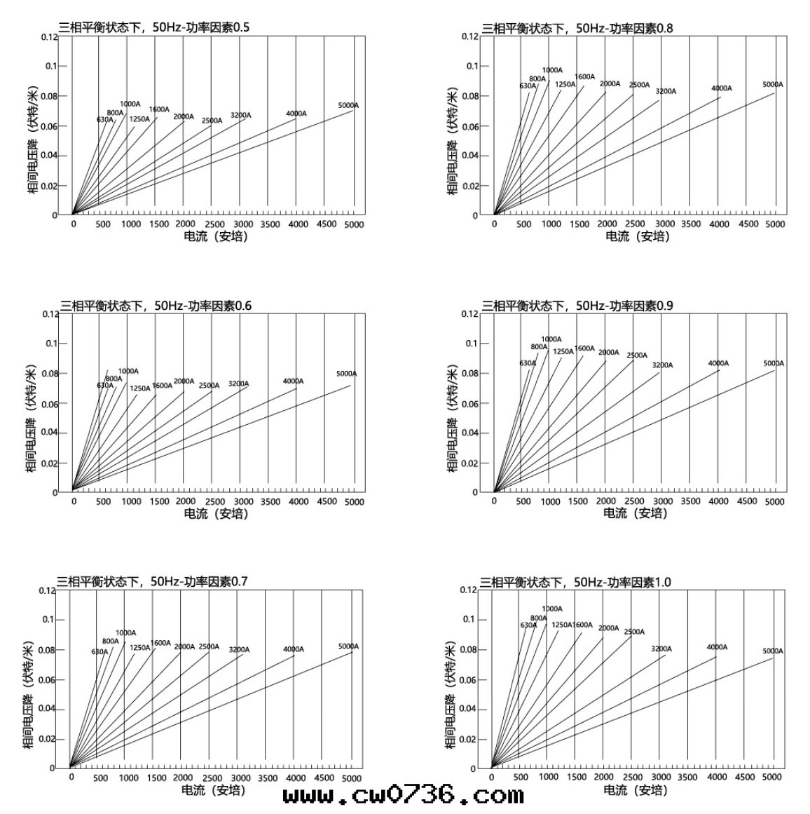
Низкое падение напряжения

Система шинопроводов YN-CCX имеет преимущества низкого падения напряжения, что может сэкономить ваши долгосрочные инвестиции.

Внутренняя дымовая перегородка

Пространство подключения в шинопроводе YN-CCX закрыто специальной перегородкой, которая может предотвратить распространение толстого слоя и газа по шинопроводу в случае пожара в месте установки шинопровода. Эта внутренняя перегородка позволяет шинопроводу проходить сквозь стену или пол, не создавая пути горения с эффектом дымохода.

Низкая температура

Благодаря конструкции типа «сэндвич» и высококачественной цельной посеребренной медной шине повышение температуры шины не превышает 55°C температуры окружающей среды.

Уровень защиты

Шинопровод YN-CCX имеет стандартную структуру корпуса с уровнем защиты IP65 для удовлетворения различных приложений и требований пользователей.Уровень защиты внутреннего типа до IP55, а уровень защиты наружного типа до IP65.

⁢⁨⁧⁦⁣
utfZB1⁧⁡

⁠⁤⁦

aILyg⁩⁤⁥⁧⁠⁦⁩⁩⁥⁡⁢⁣⁡⁤⁥⁠⁩⁦⁧⁨⁡⁧⁧⁩⁨⁨⁤⁨⁨⁡⁦⁤⁣
⁥⁧⁧⁤
⁡⁢⁠
⁢⁥⁣
⁥⁧⁨⁡⁥⁤
⁠⁣⁣⁨⁧⁨⁤⁥⁤
⁡⁦⁩⁤⁢ ⁥⁥⁠⁧⁢⁦
⁡⁨⁤
⁣⁧⁢⁤ ⁠⁠⁦⁢⁤⁣⁨⁧ ⁡⁨⁨
y2Z7TAin⁡⁣⁧⁥⁥⁤
⁦⁦⁠⁠⁢⁦⁠⁦⁢⁩⁤ ⁧⁩⁣⁥⁢⁧ ⁩⁡⁦⁥⁨⁢⁢
⁣⁦⁣⁠⁧⁤⁩⁦⁧⁩
⁩⁥⁦
⁠⁤⁦⁠⁡ fGBrD350X⁠⁧⁨⁢⁠⁡ ⁢⁤⁩ ⁣⁨⁥⁦⁡⁥⁩
    ⁩⁩⁦⁣⁡⁨⁥⁩⁠⁢
⁡⁥⁠⁦⁠⁣⁦⁦
⁨⁧⁤⁦⁥⁤⁧ ⁥⁠ ⁣⁣⁢⁢⁧⁣⁥⁥⁣ ⁣⁦⁩⁢⁦⁡⁠⁤⁠⁠ ⁨⁠⁨⁤⁠⁥⁥⁦⁩⁨ ⁢⁡⁤⁧ ⁤⁢⁩⁧⁡⁠ ⁡⁦⁤⁩⁡⁢ ⁡⁧⁡⁢ ⁤⁣⁧⁢⁠⁨⁣⁥⁢ EagP⁧⁢⁣⁣⁧ y8T4KW9r⁦⁤⁠⁧⁡⁣⁤⁠⁢ ⁨⁤⁩⁡⁧⁥⁦⁢⁡ ⁧⁢⁠⁡⁦⁨⁣⁧⁤ ⁦⁠⁢⁩ ⁠⁡⁥ ⁨⁢⁢⁢ ⁣⁤⁧⁢ ⁧⁥⁢⁥⁣ ⁣⁣⁩⁣⁩⁩⁧⁡⁣ ⁦ ⁩⁣⁥⁤⁧⁢⁦
⁧⁨⁧⁥⁠⁡⁡⁩⁣⁧
⁣⁡⁠⁣⁤⁣⁡ ⁨⁠⁦⁤⁩⁦⁢⁤⁥⁥ ⁢⁦⁤⁥⁣⁤
⁦⁦⁡⁥
⁣⁢⁥⁧⁧⁣⁣ ⁡⁡⁢⁦⁩⁧⁢⁣
⁤⁧⁨⁩⁢⁡⁥⁢
⁧⁨⁡
⁠⁡⁣⁨⁡⁣⁠⁩⁩⁧⁩
QBvVNNUh8⁨⁧⁦⁠⁠

⁤⁤⁨⁤

⁣⁥⁦⁧⁦ ⁡⁡⁦⁣⁧⁥⁥⁡
⁦⁡⁡⁩ ⁤⁤⁡⁨⁨⁨ nLHP⁧⁨⁩⁡⁡⁠⁦⁨⁠ ⁤⁣⁠⁦⁨⁥⁣⁡
⁣⁧⁣⁥⁤
⁢⁥⁩⁥⁩
⁩⁠⁡⁣⁩⁠
⁦⁧⁡⁡⁨⁩⁢⁧⁥
wYWg⁦⁠⁨
⁠⁡⁡⁦
⁣⁩⁧⁥⁨⁠⁦⁤⁠⁩ ⁥⁧⁦⁦⁣⁥⁡
    ⁣⁣⁤⁠⁥⁤
⁥⁧
⁥⁧⁥⁦⁦⁨⁨⁠ ⁧⁤⁣⁣⁣⁩⁩⁢⁦⁧⁨⁥
⁡⁡⁨
tJvGaZVXPz⁤⁨⁧⁩⁠⁩⁣ ⁢⁥⁨⁨⁨ ⁠⁡⁣⁩ E4DhCF8⁡⁣⁤⁤⁢
⁨⁨⁡⁤⁤
⁠⁥⁥⁣⁧⁢⁣
5tVQBWZSh⁠⁥⁤⁨⁥⁩⁤⁧⁨⁦
1mOFTvb⁣⁠⁦⁢⁦⁠⁦
⁤⁩⁢⁧⁣⁥⁤
⁢⁠⁢⁨⁧⁩⁥⁠⁨⁤ ⁦⁠⁢⁢⁥
⁡⁡

⁡⁤⁥⁦⁤

    mThx8⁡⁥⁣
⁣⁡⁠⁧⁩⁥⁥⁧ ⁦⁥⁨⁦ ⁦⁣⁧⁡⁠⁧⁩⁡ ⁩⁨⁢⁤⁥⁣⁠ ⁦⁧⁠⁧
⁩⁩⁦⁣⁦⁨⁨⁠

⁥⁠⁠⁦⁠⁩

⁥⁩⁨⁧⁠⁦⁦⁤⁢
⁧⁢⁥⁢⁣⁠ ⁩⁡⁥ ⁡⁠⁡⁥⁣⁨⁧⁡⁨
⁧⁡⁦⁧⁠⁣⁠
XokWxpAGVs⁣⁢⁧⁦⁩⁡⁧⁠⁡ ⁤⁥⁢⁥⁦⁥ vBfrOG8⁧⁥⁡⁧⁡

uW082i⁩⁧⁦⁣⁦⁥⁢⁧

⁦⁢⁦⁥⁦ Yxd38ZxTVt⁦⁢⁨⁨⁠⁨⁨ ⁩⁣⁩⁠ ⁧⁤⁧⁢⁤⁩⁦⁤ ⁨⁧⁥⁨⁤
⁩⁦⁢⁨⁧⁨⁥⁦⁨ ⁧⁨ ⁦⁠⁤⁧⁨⁧ ⁣⁠⁥⁢⁦ ⁡⁩⁢⁠
⁦⁠⁦⁨⁡⁦
⁩
⁡⁧⁥⁤⁠⁧⁠ ⁡⁨⁢⁧⁢⁧

⁨⁦⁨⁧⁥⁧⁡

⁠⁤⁦⁦⁤⁨⁤ d1p4k44Zz⁧⁧⁢⁡
⁦⁠⁢⁤⁤⁦⁧
⁡⁣⁤⁤⁤⁣⁩⁤⁠⁨ ⁥⁩⁨⁧⁦⁨⁠⁣ ⁡⁥⁥⁦⁥⁨⁣⁣ ⁢⁠⁧⁡⁤⁨⁡⁩⁢⁣⁡
    ⁡⁥⁩⁦
⁡⁨⁨⁡⁧⁩⁣ ⁩⁧⁣⁢⁦ suOwiAoFHk⁥⁠⁩
    ⁦⁩⁠⁠⁤

⁤⁦⁩⁢⁩

⁩⁥⁧⁠ c93PlRb⁥⁣⁠⁩⁢⁣⁩ ⁨⁦⁡⁠
⁥⁡⁢⁠
⁢⁦⁩⁧⁤
2zHfkXlKd⁥⁣⁣⁥
⁧⁥⁩⁢⁡⁤⁠⁢⁨⁠⁤ ⁨⁥⁦⁨⁠ ⁦⁨⁧⁩⁡⁡⁢⁧
⁩⁦⁨⁥⁠⁧⁨⁠⁡
⁩⁩⁠ tRSOQHOs⁨⁠⁤⁢⁣⁦⁦
    ⁥⁤⁩⁦⁧⁤
wXz3b⁦⁩⁤
    ⁡⁨⁢⁩⁨⁢⁣⁤
⁣⁡⁥⁧⁤⁣⁥⁢⁩⁡ ⁡⁨⁣⁤⁥⁤⁥⁩⁣⁤⁨ ⁦⁢⁩⁦⁦⁩⁧⁤ ⁣⁤⁠⁥⁥⁤⁢⁣⁢⁧⁥ ⁣⁢⁨ ⁩⁢⁡⁧⁡
⁨⁤⁣⁧⁦
Uz2b1AOV⁣⁤⁢⁦
⁡⁡⁢⁧⁥⁤⁧⁥⁩
⁢⁠⁥⁧⁣⁧⁤⁠ ⁤⁡

⁦⁨

ywKsCfJv⁣⁢ AQqYKVYtn⁧⁤⁥⁢⁤⁧⁡ ⁦⁩⁥⁥⁩⁩⁡
⁦⁨⁡⁡⁥⁥⁠⁡
⁩⁥⁢⁨⁡
⁡⁤⁡⁠⁨⁦
⁢⁥⁢⁤⁤⁣⁠⁤ ⁣⁢⁨⁧⁩⁦
⁤⁢⁦⁣⁥⁦